Please enable JavaScript to view this site.

Область применения команд вставки над- и подстрок — написание различных обозначений, математических формул и т.д.

Вставка над- и подстрок является разновидностью вставки индексов. Отличие заключается в том, что строка-основание может иметь различную высоту, а верхние и нижние индексы центрируются относительно строки-основания.

Вы можете вставить подстроку с нормальным основанием, высота символов которого равна высоте символов текущего шрифта, и с увеличенным основанием, высота символов которого составляет ≈150 % от высоты символов текущего шрифта. Высота индексов постоянна и составляет ≈45 % от высоты символов текущего шрифта.

Для вставки над- и подстрок служит команда Над/Подстроки.

После вызова команды вставки над/подстроки, курсор остается на месте — можно начинать ввод строки-основания. Переход от ввода основания к вводу надстроки выполняется клавишей <> при нахождении текстового курсора в последней позиции основания, переход из надстроки в подстроку — также клавишей <> при нахождении текстового курсора в последней позиции надстроки.

При перемещении курсора с помощью клавиш <> и <> по строке, содержащей над/подстроки, действуют следующие правила.

При движении слева направо курсор проходит сначала строку-основание, потом надстроку, а затем подстроку.

При движении справа налево курсор проходит сначала подстроку, потом надстроку, а затем строку-основание.

Если перед вызовом команды вставки над/подстроки был выделен фрагмент строки, он преобразуется в строку-основание. Над- и подстроки можно ввести обычным образом.

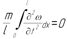
Пример выражения с применением вставки над- и подстроки

Вставки дробей, индексов, над- и подстрок могут применяться при формировании различных выражений как по отдельности, так и в различных сочетаниях.

Пример формулы, введенной с помощью нескольких команд вставки

© ООО «АСКОН-Системы проектирования», 2026. Все права защищены. | Единая телефонная линия: 8-800-700-00-78